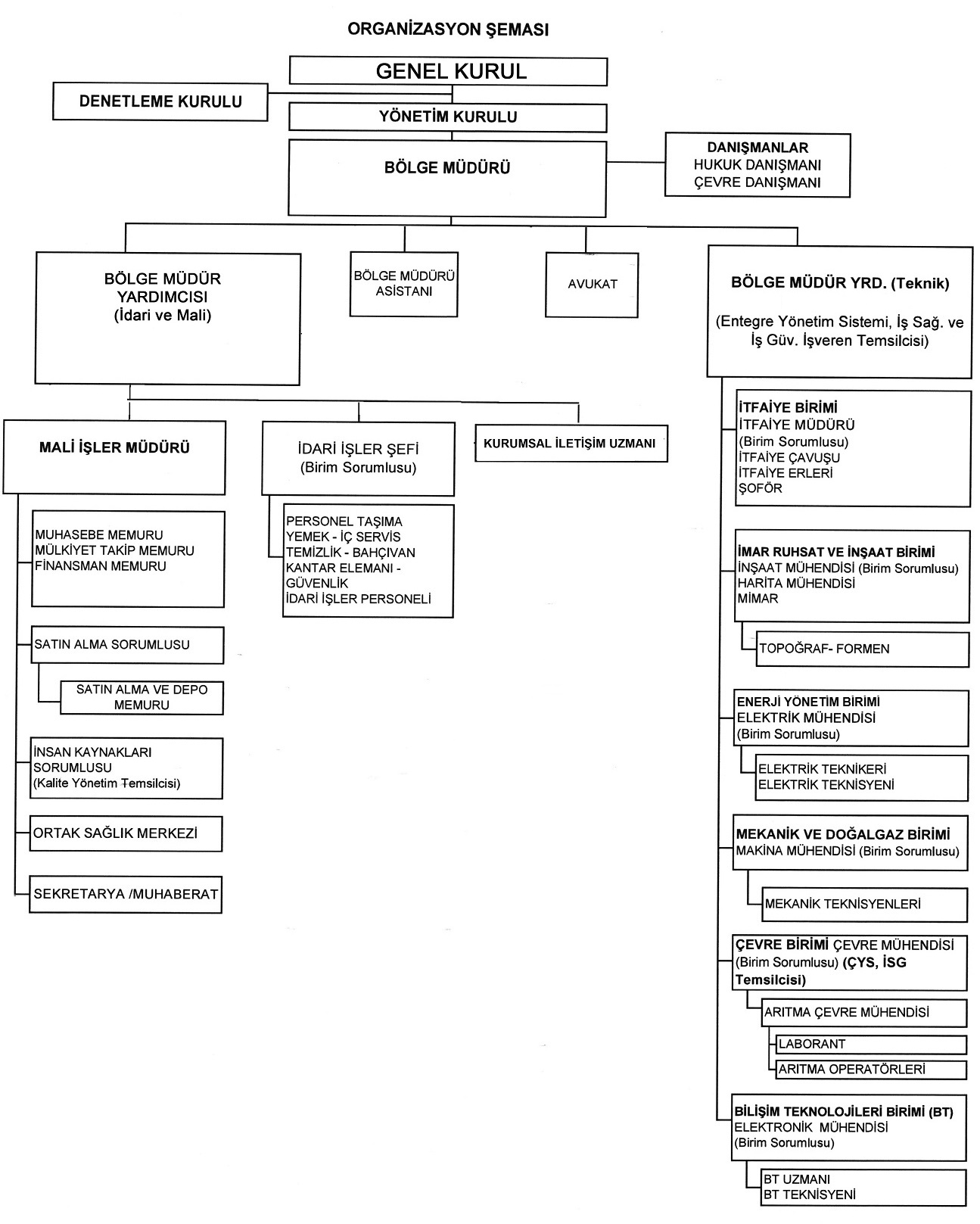
Organizasyon Yapısı





Kurumsal